04 - Distancia entre rectas que se cruzan
Para calcular la distancia entre dos rectas que se cruzan
y
podemos usar varios procedimientos. Veamos algunos de ellos:
Método 1
– Buscamos un plano
que contenga a una de las rectas
y que sea paralelo a la otra recta
(podemos hallarlo con un vector director de cada recta y un punto de
).
– La distancia entre ambas rectas es la distancia de cualquier punto de
al plano.
Ver ejemplo resuelto por este método
Método 2
Otro método sería el que aparece en el siguiente vídeo:
Método 3
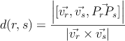
Otra forma de calcular la distancia entre rectas que se cruzan es aplicar la siguiente fórmula (necesitamos un vector y un punto de cada recta)
![d(r,s) = \frac{\left| [\vec{v_r},\vec{v_s},\vec{P_rP_s}] \right|}{\left| \vec{v_r} \times \vec{v_s} \right|} d(r,s) = \frac{\left| [\vec{v_r},\vec{v_s},\vec{P_rP_s}] \right|}{\left| \vec{v_r} \times \vec{v_s} \right|}](local/cache-TeX/2b927f3fbc307fd3bdfc4c1bafa89b7e.png)
Numerador
valor absoluto del producto mixto
Denominador
módulo del producto vectorial
Veamos de dónde sale la fórmula
Volumen del paralelepípedo = Área de la base x altura
![]()
Recordemos que el volumen se calcula con el producto mixto y la superficie con el producto vectorial
![\underbrace{\left| [\vec{v_r},\vec{v_s},\vec{P_rP_s}] \right|}_{V} = \underbrace{\left| \vec{v_r} \times \vec{v_s} \right|}_{A} \cdot d \underbrace{\left| [\vec{v_r},\vec{v_s},\vec{P_rP_s}] \right|}_{V} = \underbrace{\left| \vec{v_r} \times \vec{v_s} \right|}_{A} \cdot d](local/cache-TeX/b5232bc017f3ee8158f4c102aec5382d.png)
Despejando "d" se obtiene la fórmula para calcular la distancia entre rectas que se cruzan:
![d(r,s) = \frac{\left| [\vec{v_r},\vec{v_s},\vec{P_rP_s}] \right|}{\left| \vec{v_r} \times \vec{v_s} \right|} d(r,s) = \frac{\left| [\vec{v_r},\vec{v_s},\vec{P_rP_s}] \right|}{\left| \vec{v_r} \times \vec{v_s} \right|}](local/cache-TeX/2b927f3fbc307fd3bdfc4c1bafa89b7e.png)
vector director de la recta r
vector director de la recta s
vector formado por un punto de cada recta.