• Apuntes
  • Vídeos
  • Ejercicios
    • Resueltos
    • Por Curso
      • 1º ESO
      • 2º ESO
      • 3º ESO
      • 4º ESO
      • 1º BACH. CIENCIAS
      • 1º BACH. SOCIALES
      • 2º BACH. CIENCIAS
      • 2º BACH. SOCIALES
  • Más recursos
    • Actividades Interactivas
    • Selectividad (PAU)
    • Acceso Mayores 25
    • LaTeX
Inicio ›<::: Apuntes :::> ›MATEMÁTICAS ›20 - Geometría en el espacio ›4 - DISTANCIAS, ÁNGULOS y SIMETRÍAS ›02 - Distancia de un punto a un plano

02 - Distancia de un punto a un plano

distanciasgeometría3D

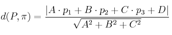
Dados un punto P(p_1,p_2,p_3) y un plano \pi \equiv Ax+By+Cz+D=0 , calculamos la distancia del punto al plano con la fórmula:

d(P, \pi)=\frac{|A \cdot p_1+B \cdot p_2+C \cdot p_3 +D|}{\sqrt{A^2+B^2+C^2}}


Comentar el artículo

4 - DISTANCIAS, ÁNGULOS y SIMETRÍAS

  • 01 - Distancia entre dos puntos
  • 02 - Distancia de un punto a un plano
  • 03 - Distancia de un punto a una recta
  • 04 - Distancia entre rectas que se cruzan
  • 05 - Ángulo entre dos vectores
  • 06 - Ángulo entre dos rectas
  • 07 - Ángulo entre dos planos
  • 08 - Ángulo entre recta y plano
  • 09 - Simétrico de un punto respecto de otro punto
  • 10 - Simétrico de un punto respecto de una recta
  • 11 - Simétrico de un punto respecto de un plano
  • Mapa del sitio
  • Conectarse
  • 2001-2026 — Matemáticas IES — Contactar con Dani