Ecuaciones Exponenciales y Logarítmicas

Ecuaciones Exponenciales y Logarítmicas - 1º Bach. Ciencias

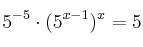
Resuelve la ecuación: 5^{-5} \cdot (5^{x-1})^x=5

Resuelve la ecuación \frac{4^{x-1}}{2^{x+2}}=186

Resuelve la ecuación 0.5^x = 16

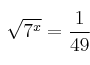
Resuelve la ecuación
\sqrt{7^x} = \frac{1}{49}

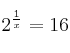
Resuelve la ecuación
2^{\frac{1}{x}} = 16

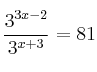
Resuelve la ecuación
\frac{3^{3x-2}}{3^{x+3}} = 81

Resuelve la ecuación:
\left( \frac{2}{5} \right)^x = \frac{8}{125}

Resuelve la ecuación:
2^x \cdot 5^x = 0.1

Resuelve la ecuación:
2^x \cdot 3^x = 81

Resuelve la ecuación
9^x - 3^x - 6 = 0