Funciones, Derivadas e Integrales
Análisis matemático: Funciones, Límites, Derivadas e Integrales
De la función
se sabe que
y que su gráfica tiene tangente horizontal en el punto
. Halla la expresión de ![]()
Halla el área del recinto rayado que aparece en la figura adjunta sabiendo que la parte curva tiene como ecuación 
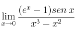
Calcula 
Sea
el logaritmo neperiano de
y sea
la
función definida por
. Calcula la primitiva de f cuya gráfica pasa por el punto
.
Se sabe que la función
definida por ![]()
tiene un extremo relativo en el punto de abscisa
y que su gráfica tiene un punto de inflexión en el punto de abscisa
. Conociendo además que
, halla
,
y
.
Dadas la parábola de ecuación
y la recta de ecuación
, se pide:
– (a) Área de la región limitada por la recta y la parábola.
– (b) Ecuación de la recta paralela a la dada que es tangente a la parábola.
Considera la función
definida por ![]()
– (a) Halla las asíntotas de la gráfica de f
– (b) Determina los extremos relativos de f y los puntos de inflexión de su gráfica
– (c) Esboza la gráfica de f
Sea la función
definida por:

– (a) Calcula, si es posible, las derivadas laterales de
en
– (b) Halla los intervalos de crecimiento y de decrecimiento de la función ![]()
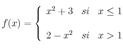
Sea la función
definida por:

– (a) Calcula, si es posible, las derivadas laterales de
en
– (b) Halla los intervalos de crecimiento y de decrecimiento de la función ![]()
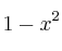
Determina el valor positivo de
para el que el área del recinto limitado por la parábola
y la recta
es 1.