Selectividad Andalucía 2001-2-B2
Halla el área del recinto rayado que aparece en la figura adjunta sabiendo que la parte curva tiene como ecuación 
SOLUCIÓN
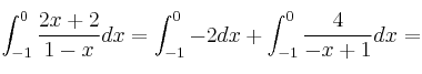
– El área del trozo bajo la parte curva sería:

Se trata de una integral racional (Ver Teoría), por lo que debemos hacer el cociente de polinomios
y se obtiene
de cociente y
de resto, con lo que podemos expresar la integral de la forma:

![]()
– El resto del área se puede calcular como la integral bajo la recta que pasa por los puntos (2,0) y (0,2). Habría que calcular la ecuación de la recta y después hacer una suma de integrales (una entre 0 y 2, y otra entre 2 y 3), teniendo en cuenta que la segunda integral habría que tomarla en valor absoluto (está bajo el eje).
Sin embargo, se puede hacer más fácil: como áreas de triángulos. Basta aplicar (base x altura)/2 y obtendríamos un área de
en el primer triángulo y de
en el segundo.
El área total que nos piden es:

Mensajes
14 de mayo de 2020, 13:56, por Adela
Creo que queda : 2+4ln(2)+2,5= 4,5+4ln(2) Al sustituir la x por (-1)
14 de mayo de 2020, 17:36, por dani
El resultado es correcto.
Si lo haces con cualquier programa de cálculo simbólico da
0.77258 ···
Si con la calculadora haces -2+4ln(2) obtendrás el mismo resultado.