Selectividad Andalucía 2001-2-B1
andalucíaderivada de una funciónEjercicios_ResueltosfuncionesintegralesMatemáticasII_Andalucía_2001PIZARRAselectividadtangente a curva
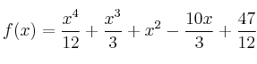
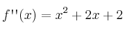
De la función
se sabe que
y que su gráfica tiene tangente horizontal en el punto
. Halla la expresión de ![]()
SOLUCIÓN
