Funciones, Derivadas e Integrales
Análisis matemático: Funciones, Límites, Derivadas e Integrales
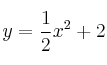
Calcular el área de la región sombreada de la figura, siendo la curva 
Calcula el área encerrada entre las curvas
y ![]()
Halla el área encerrada entre las funciones
y ![]()
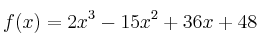
Calcule máximos y mínimos de la función ![]()
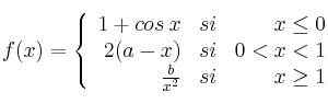
Estudia la derivabilidad de la siguiente función:
![]()
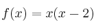
Calcula la derivada de la función:

Calcular la derivada de la función ![]()
Hallar dominio, continuidad y corte con los ejes de la función 
Halla los valores de
y
para que la siguiente función sea continua en todo ![]()

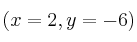
Dada la función
, determinar los valores de
,
y
si sabemos que
tiene un óptimo en
y la pendiente de la recta tangente a
en
es
.