trigonometría resolución de triángulos
Resuelve el siguiente triángulo:
SOLUCIÓN
Resolver un triángulo es calcular el valor de todos sus lados y de todos sus ángulos.
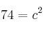
Para el lado que falta (le llamamos "c"), aplicamos Pitágoras:

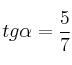
Ahora calculamos sus ángulos. Dado que el triángulo es rectángulo, podemos aplicar las razones trigonométricas. En este caso se puede usar seno, coseno o tangente. Usaremos, por ejemplo, la tangente:
Por tanto, 
Usando la calculadora obtenemos un valor aproximado de:
![]()
Entonces
![]()
En todo triángulo la suma de sus ángulos es de 180 grados.
Si el triángulo es rectángulo, uno de sus ángulos vale 90 y los otros 90 restantes se los reparten entre los otros dos ángulos.