📝 Ejercicios de ecuaciones_exponenciales
-
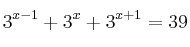
Resuelve la ecuación:

-
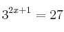
Resuelve la ecuación

-
Resuelve la ecuación

-
Resuelve la ecuación

-
Resuelve la ecuación

-
Resuelve la ecuación

-
Resuelve la ecuación

-
Resuelve la ecuación

-
Resuelve la ecuación

-
Resuelve la ecuación

-
Resuelve la ecuación

-
Resuelve la ecuación

-
Resuelve la ecuación

-
Resuelve la ecuación

-
Resuelve la ecuación

-
Resuelve la ecuación

-
Resuelve la ecuación

-
Resuelve la ecuación:

-
Resuelve la ecuación

-
Resuelve la ecuación
