ecuaciones exponenciales

💬 2

  ecuacionesecuaciones_exponencialesEjercicios_Resueltos

Resuelve la ecuación 2^{x-1}+ 2^x - 5 \cdot 2^{x+1} = -68

SOLUCIÓN

2^{x-1}+ 2^x - 5 \cdot 2^{x+1} = -68

Se trata de una ecuación exponencial

Cuando hay sumas/restas se pueden resolver sacando factor común o mediante un cambio de variable.

Hagamos el cambio 2^x=t. Entonces hay que expresar todo en la variable "t" (no puede quedar ninguna "x").

2^{x-1}= \frac{2^x}{2^1}=\frac{t}{2}

2^{x+1}= 2^x \cdot 2^1 = t \cdot 2 = 2t

Ya podemos sustituir

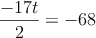
\frac{t}{2}+ t - 5 \cdot 2t = -68

\frac{-17t}{2} = -68

-17t= -68 \cdot 2
-17t= -136

t= \frac{-136}{-17} \longrightarrow t=8

Como tenemos que 2^x=t entonces

2^x=8 \longrightarrow 2^x = 2^3 \longrightarrow \color{blue}{x=3}

Comentar el ejercicio

Mensajes