• Apuntes
  • Vídeos
  • Ejercicios
    • Resueltos
    • Por Curso
      • 1º ESO
      • 2º ESO
      • 3º ESO
      • 4º ESO
      • 1º BACH. CIENCIAS
      • 1º BACH. SOCIALES
      • 2º BACH. CIENCIAS
      • 2º BACH. SOCIALES
  • Más recursos
    • Actividades Interactivas
    • Selectividad (PAU)
    • Acceso Mayores 25
    • LaTeX
Inicio ›EJERCICIOS de Matemáticas ›4º ESO ›Sistemas de ecuaciones ›sistemas lineal de 3 ecuaciones con 3 incógnitas

sistemas lineal de 3 ecuaciones con 3 incógnitas

Ejercicios_Resueltossistema_lineal_3_ecuaciones_3incógnitas

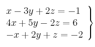
Resuelve el sistema de ecuaciones:

\left. \begin{array}{lcc}
             x - 3y + 2z = -1\\
             4x +5y -2z = 6\\
             -x + 2y + z = -2
             \end{array}
   \right\}

Comentar el ejercicio

  • 4º ESO
    • Números Reales
    • Radicales
    • Logaritmos
    • Polinomios
    • Ecuaciones
    • Sistemas de ecuaciones
    • Proporcionalidad
    • Inecuaciones
    • Trigonometría
    • Funciones 4º ESO
    • Números racionales
    • Circunferencia
    • Geometría en el plano
    • Probabilidad
    • Estadística
  • Mapa del sitio
  • Conectarse
  • 2001-2026 — Matemáticas IES — Contactar con Dani