logaritmos
Sabiendo que
y que
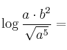
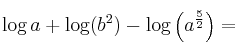
, calcula 
SOLUCIÓN
Aplicamos las propiedades de los logaritmos para ir descomponiendo la expresión hasta que sólo nos queden términos del tipo
y
(una vez conseguido, sustituimos por los valores que nos da el enunciado)





Mensajes
8 de diciembre de 2006, 11:34, por carla
Hola soy nueva en esto de los Logaritmos y necesitaría ayuda, tengo examen la próxima semana, si alguien me pudiera ayudar le estaría muy agradecida.
No se llegar a la solución.
a) 3 log 5 + 1/2 log 9 - 3 log 3 - log 25
Sol: log 5/9
8 de diciembre de 2006, 13:37, por dani
la solución al ejercicio que plantea Carla está en Aplica las propiedades de los logaritmos
26 de noviembre de 2020, 12:06, por inma
el resultado seria 0.5055,
20 de octubre de 2022, 16:42, por Óscar
El resultado del cálculo sería 0,5505