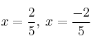
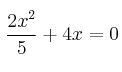
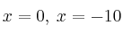
ecuaciones segundo grado incompletas 💬 1 ecuacionesecuaciones-segundo-gradoincompleta Resuelve las siguientes ecuaciones sin aplicar la fórmula general: a) b) Comentar el ejercicio Mensajes 3 de diciembre de 2006, 11:14, por dani – a) – b)
Mensajes
3 de diciembre de 2006, 11:14, por dani
– a)

– b)