ecuaciones segundo grado incompletas
Resuelve las siguientes ecuaciones sin aplicar la fórmula general:
– a)
– b) ![]()
SOLUCIÓN
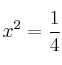
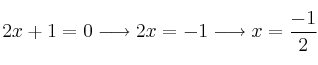
– a) ![]()
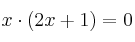
Las ecuaciones de segundo grado incompletas a las que falta el término "c" se resuelven sacando factor común "x"
![]()
![]()
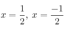
De donde:
–
–
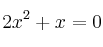
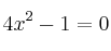
– b) ![]()
Las ecuaciones de segundo grado incompletas a las que falta el término "b" se resuelven despejando ![]()
![]()
![]()


Mensajes
3 de diciembre de 2006, 11:10, por dani
– a)

– b)