ecuaciones segundo grado
Resuelve la ecuación: ![]()
SOLUCIÓN
![]()
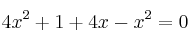
Quitamos paréntesis y ordenamos la ecuación.
Podemos quitar paréntesis multiplicando polinomios o usando las fórmulas de las igualdades notables.
Usaremos las igualdades notables:
![]()
![]()
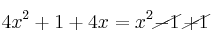
![]()
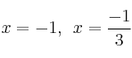
![]()
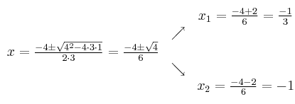
Aplicamos la fórmula de la ecuación de segundo grado

Mensajes
3 de diciembre de 2006, 12:01, por dani