• Apuntes
  • Vídeos
  • Ejercicios
    • Resueltos
    • Por Curso
      • 1º ESO
      • 2º ESO
      • 3º ESO
      • 4º ESO
      • 1º BACH. CIENCIAS
      • 1º BACH. SOCIALES
      • 2º BACH. CIENCIAS
      • 2º BACH. SOCIALES
  • Más recursos
    • Actividades Interactivas
    • Selectividad (PAU)
    • Acceso Mayores 25
    • LaTeX
Inicio ›EJERCICIOS de Matemáticas ›4º ESO ›Ecuaciones ›ecuaciones segundo grado

ecuaciones segundo grado

💬 1

  ecuacionesecuaciones-segundo-gradoEjercicios_Resueltosformula ecuación 2º grado

Resuelve las siguientes ecuaciones:
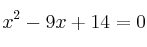
– a)  x^2 - 9x + 14 = 0
– b)  x^2 - 6x + 10 = 0

SOLUCIÓN

– a)  x^2 - 9x + 14 = 0


\begin{array}{ccc} & & x_1 = \frac{9+5}{2}=7\\ & \nearrow &\\ x=\frac{-(-9)\pm \sqrt{(-9)^2-4 \cdot1\cdot14}}{2 \cdot1}=
 \frac{9\pm \sqrt{25}}{2}& &\\ & \searrow &\\& &x_2 = \frac{9-5}{2}=2\end{array}

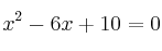
– b)  x^2 - 6x + 10 = 0


\begin{array}{ccc} & & Sin \:\: solución\\ & \nearrow &\\ x=\frac{-(-6)\pm \sqrt{(-6)^2-4 \cdot1\cdot10}}{2 \cdot1}=
 \frac{6\pm \sqrt{-4}}{2}& &\\ & \searrow &\\& &Sin \:\: solución\end{array}


No tiene soluciones reales

Comentar el ejercicio

Mensajes

  • 3 de diciembre de 2006, 11:57, por dani

    – a) x=2, \: x=7
    – b) No tiene solución

  • 4º ESO
    • Números Reales
    • Radicales
    • Logaritmos
    • Polinomios
    • Ecuaciones
    • Sistemas de ecuaciones
    • Proporcionalidad
    • Inecuaciones
    • Trigonometría
    • Funciones 4º ESO
    • Números racionales
    • Circunferencia
    • Geometría en el plano
    • Probabilidad
    • Estadística
  • Mapa del sitio
  • Conectarse
  • 2001-2026 — Matemáticas IES — Contactar con Dani