• Apuntes
  • Vídeos
  • Ejercicios
    • Resueltos
    • Por Curso
      • 1º ESO
      • 2º ESO
      • 3º ESO
      • 4º ESO
      • 1º BACH. CIENCIAS
      • 1º BACH. SOCIALES
      • 2º BACH. CIENCIAS
      • 2º BACH. SOCIALES
  • Más recursos
    • Actividades Interactivas
    • Selectividad (PAU)
    • Acceso Mayores 25
    • LaTeX
Inicio ›EJERCICIOS de Matemáticas ›4º ESO ›Ecuaciones ›ecuaciones primer grado denominadores

ecuaciones primer grado denominadores

ecuacionesecuaciones con denominadoresecuaciones de primer gradoEjercicios_Resueltos

Resuelve la ecuación:
 x-1 - \frac{x-2}{2} + \frac{x-3}{3} = 0

SOLUCIÓN

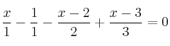
 x-1 - \frac{x-2}{2} + \frac{x-3}{3} = 0
 \frac{x}{1}-\frac{1}{1} - \frac{x-2}{2} + \frac{x-3}{3} = 0
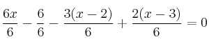
m.c.m.(2,3) = 6
 \frac{6x}{6}-\frac{6}{6} - \frac{3(x-2)}{6} + \frac{2(x-3)}{6} = 0
 6x-6 - 3(x-2) + 2(x-3)= 0
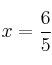
 5x-6 = 0
 x = \frac{6}{5}

Comentar el ejercicio

  • 4º ESO
    • Números Reales
    • Radicales
    • Logaritmos
    • Polinomios
    • Ecuaciones
    • Sistemas de ecuaciones
    • Proporcionalidad
    • Inecuaciones
    • Trigonometría
    • Funciones 4º ESO
    • Números racionales
    • Circunferencia
    • Geometría en el plano
    • Probabilidad
    • Estadística
  • Mapa del sitio
  • Conectarse
  • 2001-2026 — Matemáticas IES — Contactar con Dani