ecuaciones irracionales
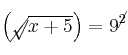
Resuelve la ecuación: ![]()
SOLUCIÓN
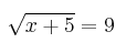
![]()
Se trata de una ecuación irracional (la incógnita está dentro de una raíz).
Se resuelve aislando la raíz y elevando al cuadrado.


![]()
![]()
![]()
En las ecuaciones irracionales hay que verificar las soluciones, pues al elevar al cuadrado se pueden introducir soluciones falsas.
![]()
La solución
es correcta
Mensajes
3 de diciembre de 2006, 12:06, por dani