• Apuntes
  • Vídeos
  • Ejercicios
    • Resueltos
    • Por Curso
      • 1º ESO
      • 2º ESO
      • 3º ESO
      • 4º ESO
      • 1º BACH. CIENCIAS
      • 1º BACH. SOCIALES
      • 2º BACH. CIENCIAS
      • 2º BACH. SOCIALES
  • Más recursos
    • Actividades Interactivas
    • Selectividad (PAU)
    • Acceso Mayores 25
    • LaTeX
Inicio ›EJERCICIOS de Matemáticas ›4º ESO ›Ecuaciones ›ecuaciones grado1 denominadores

ecuaciones grado1 denominadores

💬 1

  ecuacionesecuaciones con denominadoresecuaciones de primer gradoEjercicios_Resueltos

Resuelve la ecuación:

\frac{x+4}{3} = \frac{3x-3}{4}


SOLUCIÓN

\frac{x+4}{3} = \frac{3x-3}{4}
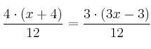
m.c.m.(3,4)=12
\frac{4 \cdot(x+4)}{12} = \frac{3 \cdot(3x-3)}{12}
4 \cdot(x+4) = 3 \cdot(3x-3)
4x+16 = 9x-9
4x-9x = -9-16
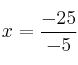
-5x = -25
x = \frac{-25}{-5}
x = 5

Comentar el ejercicio

Mensajes

  • 30 de noviembre de 2006, 14:52, por dani

    x = 5

  • 4º ESO
    • Números Reales
    • Radicales
    • Logaritmos
    • Polinomios
    • Ecuaciones
    • Sistemas de ecuaciones
    • Proporcionalidad
    • Inecuaciones
    • Trigonometría
    • Funciones 4º ESO
    • Números racionales
    • Circunferencia
    • Geometría en el plano
    • Probabilidad
    • Estadística
  • Mapa del sitio
  • Conectarse
  • 2001-2026 — Matemáticas IES — Contactar con Dani