• Apuntes
  • Vídeos
  • Ejercicios
    • Resueltos
    • Por Curso
      • 1º ESO
      • 2º ESO
      • 3º ESO
      • 4º ESO
      • 1º BACH. CIENCIAS
      • 1º BACH. SOCIALES
      • 2º BACH. CIENCIAS
      • 2º BACH. SOCIALES
  • Más recursos
    • Actividades Interactivas
    • Selectividad (PAU)
    • Acceso Mayores 25
    • LaTeX
Inicio ›EJERCICIOS de Matemáticas ›4º ESO ›Ecuaciones ›ecuaciones grado1 denominadores

ecuaciones grado1 denominadores

💬 1

  ecuacionesecuaciones con denominadoresecuaciones de primer gradoEjercicios_Resueltos

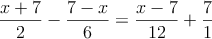
Resuelve la ecuación:

 \frac{x+7}{2} - \frac{7-x}{6} = \frac{x-7}{12} + 7

SOLUCIÓN

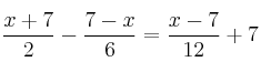
 \frac{x+7}{2} - \frac{7-x}{6} = \frac{x-7}{12} + \frac{7}{1}


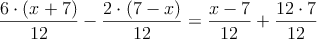
m.c.m.(2,6,12)=12

 \frac{6 \cdot (x+7)}{12} - \frac{2 \cdot (7-x)}{12} = \frac{x-7}{12} + \frac{12 \cdot 7}{12}


6 \cdot (x+7) - 2 \cdot (7-x) = x-7+ 12 \cdot 7


6x+42 - 14+2x = x-7+ 84


6x+2x -x= -7+ 84-42+14


7x= 49 \longrightarrow \color{blue}{x=7}

Comentar el ejercicio

Mensajes

  • 30 de noviembre de 2006, 15:09, por dani

    x = 7

  • 4º ESO
    • Números Reales
    • Radicales
    • Logaritmos
    • Polinomios
    • Ecuaciones
    • Sistemas de ecuaciones
    • Proporcionalidad
    • Inecuaciones
    • Trigonometría
    • Funciones 4º ESO
    • Números racionales
    • Circunferencia
    • Geometría en el plano
    • Probabilidad
    • Estadística
  • Mapa del sitio
  • Conectarse
  • 2001-2026 — Matemáticas IES — Contactar con Dani