• Apuntes
  • Vídeos
  • Ejercicios
    • Resueltos
    • Por Curso
      • 1º ESO
      • 2º ESO
      • 3º ESO
      • 4º ESO
      • 1º BACH. CIENCIAS
      • 1º BACH. SOCIALES
      • 2º BACH. CIENCIAS
      • 2º BACH. SOCIALES
  • Más recursos
    • Actividades Interactivas
    • Selectividad (PAU)
    • Acceso Mayores 25
    • LaTeX
Inicio ›EJERCICIOS de Matemáticas ›4º ESO ›Ecuaciones ›ecuaciones grado1 denominadores

ecuaciones grado1 denominadores

💬 1

  ecuacionesecuaciones con denominadoresecuaciones de primer gradoEjercicios_Resueltos

Resuelve la ecuación:

 \frac{x}{3} + \frac{1}{2} = x - \frac{1}{6}

SOLUCIÓN

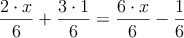
 \frac{x}{3} + \frac{1}{2} = \frac{x}{1} - \frac{1}{6}

m.c.m.(3,2,6) = 6

 \frac{2 \cdot x}{6} + \frac{3 \cdot 1}{6} = \frac{6 \cdot x}{6} - \frac{1}{6}

2x+3=6x-1


2x-6x=-1-3


-4x=-4 \longrightarrow x=\frac{-4}{-4} \longrightarrow \color{blue}{x=1}

Comentar el ejercicio

Mensajes

  • 30 de noviembre de 2006, 14:55, por dani

    x = 1

  • 4º ESO
    • Números Reales
    • Radicales
    • Logaritmos
    • Polinomios
    • Ecuaciones
    • Sistemas de ecuaciones
    • Proporcionalidad
    • Inecuaciones
    • Trigonometría
    • Funciones 4º ESO
    • Números racionales
    • Circunferencia
    • Geometría en el plano
    • Probabilidad
    • Estadística
  • Mapa del sitio
  • Conectarse
  • 2001-2026 — Matemáticas IES — Contactar con Dani