📝 Ejercicios de dominio
-
Halla el dominio de las siguientes funciones:
– a)
– b)
– c)
-
Dada la función
, se pide:– a) Dominio, asíntotas, monotonía y corte con los ejes
– b) Representación gráfica -
Indica cuál de las gráficas siguientes representan una función. En caso de ser función, indica su dominio, su imagen y los puntos de corte.
-
En la siguiente función dada por una gráfica indica:
– a) Dominio
– b) Continuidad
– c) Corte con los ejes
– d) Monotonía -
Dadas las funciones
;
, se pide para ambas funciones:– a) Hallar su dominio
– b) Puntos de corte con los ejes de coordenadas
– c) Representación gráfica -
Represente gráficamente la siguiente función:

Indica dominio, monotonía y asíntotas
-
Sea la función
– a) Representa gráficamente la función
– b) Calcula asíntotas, dominio, corte con los ejes y monotonía -
Sea la función:

– a) Representación gráfica
– b) Indica Dominio, Corte con los ejes, Asíntotas, Monotonía y Extremos -
Sea la función

– a) Representa gráficamente la función
– b) Calcula asíntotas, dominio, corte con los ejes y monotonía -
Sea la función:

Se pide:
– a) Representación gráfica
– b) Dominio y continuidad
– c) Corte con los ejes
– d) Monotonía y extremos
-
Halla el dominio de la función

-
Halla el dominio de la función

-
Halla el dominio de la función

-
Halla el dominio de la función

-
Halla el dominio de la función

-
Halla el dominio de la función

-
Halla el dominio de la función

-
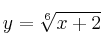
Halla el dominio de la función
![y = \sqrt[6]{x+2} y = \sqrt[6]{x+2}](local/cache-TeX/42e5716e923000f566ef9a033cd6615c.png)
-
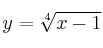
Halla el dominio de la función
![y = \sqrt[4]{x-1} y = \sqrt[4]{x-1}](local/cache-TeX/6cf83f75c9daa40fcfe7c6bea8bba86c.png)
-
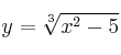
Halla el dominio de la función
![y = \sqrt[3]{x^2-5} y = \sqrt[3]{x^2-5}](local/cache-TeX/8661230c7f05d1a220088f802ecf1e66.png)