Funciones Dominio Gráfica

asíntotascorte_ejesdominioEjercicios_Resueltosfuncionesgráficagráfica_de_parábolagráfica_hipérbola

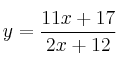
Dadas las funciones f(x)=x^2-5x+6 ; g(x)=\frac{11x+17}{2x+12} , se pide para ambas funciones:

 a) Hallar su dominio
 b) Puntos de corte con los ejes de coordenadas
 c) Representación gráfica

SOLUCIÓN

 a) f(x)=x^2-5x+6 es una función polinómica, por tanto su dominio es R (todos los números reales).
La función g(x)=\frac{11x+17}{2x+12} es racional, por tanto su dominio es todos los números reales excepto los que anulan el denominador (2x+12=0 \Rightarrow x=-6)
Dom(f)=R
Dom(g)=R - \{-6\}

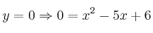
 b) Puntos de corte de y=x^2-5x+6
Si x=0 \Rightarrow y=6. Punto (0,6)
Si y=0 \Rightarrow 0=x^2-5x+6. Ecuación de segundo grado que tiene como soluciones x=2 ; x=3. Puntos (2,0) y (3,0)

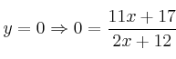
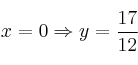
Puntos de corte de y=\frac{11x+17}{2x+12}
Si x=0 \Rightarrow y=\frac{17}{12}. Punto (0,\frac{17}{12})
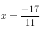
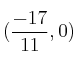
Si y=0 \Rightarrow 0=\frac{11x+17}{2x+12}. Resolvemos la Ecuación y obtenemos como solución x=\frac{-17}{11} . Punto (\frac{-17}{11},0)

 c) f(x)=x^2-5x+6 es una función polinómica de segundo grado, por tanto su gráfica es una parábola.
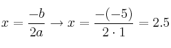
Para dibujar la parábola calculamos vértice, orientación, corte con los ejes (hecho en el apartado anterior) y, si es necesario, algunos puntos más.

Vértice: x=\frac{-b}{2a} \rightarrow x=\frac{-(-5)}{2\cdot 1} = 2.5
y=(2.5)^2-5 \cdot 2.5 + 6 = -0.25
Por tanto el vértice es V(2.5 , -0.25)

Orientación: la parábola va hacia arriba (convexa) por ser positivo el coeficiente de x^2

Corte con los ejes: (0,6) , (2,0) y (3,0)

Otros puntos
Si x=1 , y=1^2-5 \cdot 1 + 6 = 2. Punto (1,2)
Por simetría podemos obtener más puntos: (4,2) , (5,6)

Con todos los datos anteriores ya podemos dibujar la parábola

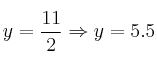
La función g(x)=\frac{11x+17}{2x+12} es una hipérbola. Para dibujarla basta con calcular sus asíntotas y obtener algunos puntos auxiliares
Asíntota horizontal y=\frac{11}{2} \Rightarrow y = 5.5
Asíntota vertical 2x+12=0 \Rightarrow x=-6

Comentar el ejercicio