Funciones - Dominio
Halla el dominio de las siguientes funciones:
– a)
– b)
– c) ![]()
SOLUCIÓN
– a) ![]()
Se trata de una función polinómica, por tanto su dominio son todos los números reales:
![]()
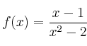
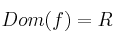
– b) 
En las funciones racionales el dominio son todos los números reales excepto los que hacen cero el denominador.


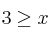
– c) ![]()
En las funciones irracionales el dominio es todos los números que hagan el radicando mayor o igual que cero
![]()
![]()
![]()