Radicales

Ejercicios y Actividades de Radicales 3º ESO

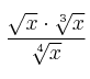
Expresa como un único radical: \frac{\sqrt{x} \cdot \sqrt[3]{x}}{\sqrt[4]{x}}

Calcula el valor de los siguientes radicales:

 a) \sqrt[3]{-27}
 b) \sqrt[3]{64}
 c) \sqrt[3]{343}
 d) \sqrt[4]{14641}

Calcula y simplifica:

3\cdot\sqrt{12}-5\cdot\sqrt{27}+\sqrt{243}-7\cdot\sqrt{75}


Pasa las siguientes potencias a radical y después simplifica todo los que puedas:

 a) 8^{{4} \over {12}}
 b) 9^{{6} \over {18}}

Calcula y simplifica:

 \frac{\sqrt{2} \cdot \sqrt{8} \cdot \sqrt{3}}{\sqrt{6}}

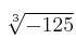
Calcula el valor de los siguientes radicales:

 a) \sqrt[3]{-125}
 b) \sqrt[4]{625}
 c) \sqrt[4]{10000}
 d) \sqrt[5]{243}

Pasa las siguientes potencias a radical y después simplifica todo lo que puedas:

 a) 8^{{2} \over {3}}
 b) 625^{{3} \over {4}}
 c) 64^{{5} \over {6}}
 d) 16^{{3} \over {2}}

Simplifica la expresión:  \sqrt[3]{5} + 3\sqrt[3]{5} - 11\sqrt[3]{5} + 3\sqrt[3]{5}

Simplifica la expresión: 7 \sqrt{2} + 4\sqrt{3} - 2\sqrt{2} + 3\sqrt{3}

Introduce factores dentro de la raíz:

 a) \: 5\sqrt{2} \:\:\:\: b) \: 7\sqrt[3]{5} \:\:\:\: c) \: 45\sqrt[4]{8} \:\:\:\: