Sistema inecuaciones primer grado 1 incógnita
Indica el conjunto solución del siguiente sistema de inecuaciones:

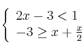
– a)
– b)
– c)
– d)
– e) ![]()
SOLUCIÓN
Se resuelve cada inecuación por separado.
La intersección de las soluciones es la solución al sistema
![]()
![]()

![]()
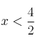
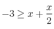
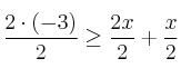
Resolvemos la otra inecuación


![]()
![]()

![]()
También se puede expresar como ![]()
Las dos soluciones son:
y ![]()
La intersección de ambas (y por tanto, la solución del sistema) es:
![]()
Se puede apreciar en la siguiente imagen