Selectividad Andalucía 2019 Junio A4
Considera la recta 
y los planos
y ![]()
– a) Halla los puntos de la recta
que equidistan de los planos
y
– b) Determina la posición relativa de la recta
y la recta de instersección de los planos
y ![]()
SOLUCIÓN
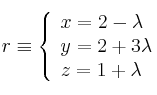
– a) Expresamos la recta
en ecuaciones paramétricas:

Cualquier punto
Si está a la misma distancia de ambos planos:
![]()
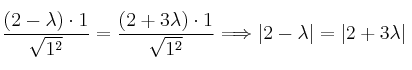
Aplicando la fórmula de la distancia de un punto a un plano tendremos:

La expresión anterior con valor absoluto da lugar a dos ecuaciones:
![]()
![]()
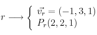
– b) Veamos la posición relativa de las rectas
y
. Para ello usaremos el método de los vectores, por tanto necesitamos un vector director de cada recta y un tercer vector formado por un punto de cada recta


Observa que todos los puntos de la recta «s» son de la forma (0,0,t), por ello, cualquier vector director también será de la forma (0,0,t)
![]()
![]()


![]()
Las rectas se cruzan