Selectividad Andalucía 2013 - J - B1
andalucíaderivada de una funciónEjercicios_ResueltosfuncionesMatemáticasII_Andalucía_2013selectividadtangente a curva
Sea
la función definida por
– a) Determina
y
sabiendo que
es derivable en todo su dominio.
– b) Halla la ecuación de la recta tangente y de la recta normal a la gráfica
en el punto de abcisa ![]()
SOLUCIÓN
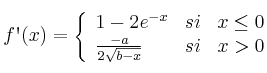
– a) Como
es derivable podemos expresar la derivada como

Al ser derivable en
sus derivadas laterales serán iguales:

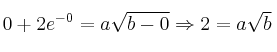
Por otra parte, como derivable implica continua,
debe ser continua en
, lo cual nos indica que:

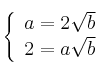
Resolviendo el sistema
obtenemos
y 
– b) Aplicamos las fórmulas de las rectas tangente y normal
(recta tangente)
(recta normal)
para
y
(el 0 está definido por el primer trozo)
Obtenemos:
y 