Resolver Ecuaciones Matriciales sin aplicar la inversa
Resolver ecuaciones matriciales sin conocer la inversa
– Nos dan una ecuación matricial
– Averiguamos la dimensión de la matriz incógnita
– Asignamos incógnitas (a, b, c, ..) a los elementos de la matriz desconocida.
– Expresamos la ecuación matricial con matrices (con sus elementos)
– Resolvemos las operaciones con matrices, a izquierda y derecha del signo igual, hasta que nos quede una sola matriz a ambos lados del signo igual.
– Aplicamos la igualdad de matrices: igualamos elemento a elemento.
– Resolvemos las ecuaciones resultantes (normalmente son ecuaciones individuales de primer grado o grupos de sistemas de ecuaciones).
Veamos un ejemplo:
Sean las matrices

y

Resuelva la siguiente ecuación matricial ![]()
– Deducimos que la matriz
es de orden
(puesto que
es de 2x2 y B es también de 2x2)
– Asignamos letras a los elementos de la matriz
– Expresamos la ecuación matricial
en forma de matrices con todos sus elementos:

– Hacemos las operaciones con matrices. A la izquierda del signo igual tenemos que hacer dos productos. A la derecha no hay que hacer nada porque ya tenemos una sola matriz.


– Planteamos la igualdad final:

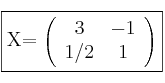
– Igualamos elemento a elemento:

Por tanto, la matriz es la siguiente 