Resolución de ecuaciones matriciales
Resolución de ecuaciones matriciales
Es importante recordar algunas propiedades en las que nos basaremos:
– el producto de matrices no es conmutativo
–
– ![]()
Para resolver las ecuaciones matriciales, primero despejamos la matriz incógnita y después realizamos las operaciones con matrices resultantes.
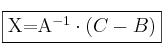
Veamos con algunos ejemplos de ecuaciones matriciales, cómo despejar la matriz incógnita:
–
Las matrices que estén sumando o restando podemos pasarlas al otro miembro cambiando de signo (igual que en las ecuaciones con números)

–
Multiplicamos por la inversa a la izquierda en ambos miembros:

–
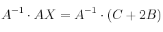
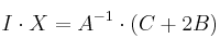
En este ejemplo tenemos que hacerlo por la derecha

–
La matriz $X$ se encuentra multiplicada por una matriz por la izquierda y por otra por la derecha. Debemos multiplicar por la inversa correspondiente a cada lado.
-
(primero pasamos al lado derecho los sumandos)
-
- 
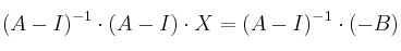
–
(primero pasamos al lado derecho los sumandos)
Podemos sacar factor común porque en ambos términos la matriz
va multiplicando por la derecha
multiplicamos por la inversa por la izquierda

Mensajes
29 de septiembre de 2015, 01:21, por diego
muy bien explicado , gracias.
15 de octubre de 2015, 04:05, por Emiliano
Hola,
quería saber cómo se resuelve una ecuación matricial cuando en alguno de sus miembros tenemos AX + XB, es decir una matriz multplicando a X del lado izquierdo, y otra matriz multiplicándola del lado derecho. Espero haberme explicado. Muchas gracias. Saludos
Emiliano
26 de enero de 2016, 17:07, por FATIMA
la x se saca es decir x ( a mas b ) y por ejemplo si es igual a c pues x es igual a c y a mas b es igual a c no se si me he explicado , soy estudiante de mates y asi es como se hace .
14 de diciembre de 2016, 09:38, por Manuel Barreiro
No es posible resolverlo haciendo operaciones con matrices y utilizando la inversa de alguna de ellas.
Puedes resolverlo considerando incógnitas aisladas cada uno de los elementos de la matriz X. Si, por ejemplo, las matrices que intervienen en la ecuación indican que la matriz X titene que ser de orden 2x2, puedes llamar a, b, c y d a cada uno de los elementos de la matriz X y hacer las operaciones que aparecen en la ecuación. Después de simplificar todo y de igualar los elementos correspondientes de las matrices que aparecen en cada uno de los miembros tendrás un sistema de cuatro ecuaciones con cuatro incógnitas
14 de diciembre de 2016, 09:42, por Manuel Barreiro
Dos puntualizaciones:
1. Lo que tú explicas no sirve para ecuaciones matriciales, sólo si son números. Entre otras cosas, porque el producto de matrices no es conmutativo.
2. En el caso de que se tratase de números, tu razonamiento sólo es válido si c=0. En cualquier otro caso, la solución sería incorrecta.
13 de marzo de 2016, 21:10, por Carolina
La ecuacion AX-3X=B es posible??? A es invertible
13 de marzo de 2016, 22:46, por dani
La ecuación matricial AX-3X=B se resolvería de la forma:
(A - 3I) · X = B
de donde:
Si suponemos |A| distinto de 0, el problema se reduce a demostrar que |A - 3I| es también distinto a cero.
14 de diciembre de 2016, 09:52, por Manuel Barreiro
El dato de que A es invertible no sirve para nada porque, aunque A lo sea, A-I puede serlo o no. En el caso de que lo sea, la solución es la que te dan en el otro comentario
16 de marzo de 2016, 02:02, por Jhonatan
Ayudemen con este ejercicio
Si x.A=B,si
A= 5 3 1
1 -2 -2
-5 2 1
B= -8 3 0
-5 9 0
-2 15 0
14 de noviembre de 2016, 15:24, por Iraís
XA=B
XA·A-1=B·A-1
XI=B·A-1
X=B·A-1
propiedades usadas:
1. A·A-1=I donde I es la matriz identidad.
2. X·I=X
19 de enero de 2017, 19:36, por Ther
Una explicación muy clara y útil, gracias
16 de febrero de 2017, 21:03, por Kayla
Buenas, me gustaría saber cual seria la solución de la ecuación matricial XA=XB.
Agradeciria muchísimo si la respuesta fuese cuanto antes ya que me corre prisa.
Muchas gracias de antemano. Un saludo
1ro de marzo de 2017, 00:09, por Adams
Saludos para poder resolver esa ecuación se puede hacer de dos maneras
1) sabiendo a priori quien es A y B, luego darle valores a las entradas de X (diferentes variables) resolver ambos productos igualarlos y formar un sistema de ecuaciones.
2) A o B deben cumplir la condición de ser Permutables con X.
25 de abril de 2018, 18:56, por maximo
como despejo esta ecuacion B + AX = X
10 de mayo de 2019, 16:49, por Carmen
Hola me gustaria saber como se resuelven los siguientes ejercicios:
A*X-2B=C
A*X=X-B
B*X-A=C^t
A*X-X= B*X+C
X*A+X*B=C
Un saludo!
11 de mayo de 2019, 09:45, por dani
En el siguiente enlace tienes explicado como se resuelven ese tipo de ecuaciones matriciales:
https://matematicasies.com/Resoluci...
Algunos de los que propones serían:
–




–



