Recorrido de una Función
Calcula analíticamente el recorrido de las siguientes funciones:
– a)
– b) 
SOLUCIÓN
Al Recorrido de una función también se le suele llamar Imagen o Rango
Para calcular el recorrido hallamos el dominio de la función inversa.
1 .- Cambiamos "x" por "y"
2 .- Despejamos "y"
3 .- Hallamos dominio de la nueva función
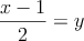
– a) ![]()
![]()
![]()
![]()
El dominio de la nueva función es todos los reales. Por tanto
![]()
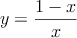
– b) 
![]()
![]()
![]()
![]()
![]()
El dominio de la nueva función es
. Por tanto
![]()