Razones de todos los ángulos de un triángulo rectángulo de catetos 7 y 9

Ejercicios_Resueltostrigonometría

Calcula el valor de las razones trigonométricas (seno, coseno y tangente) de todos los ángulos de un triángulo rectángulo de catetos 7m y 9m.

SOLUCIÓN

Primero calculamos la hipotenusa por Pitágoras

h^2=9^2+7^2 \longrightarrow h^2=130 \longrightarrow h=\sqrt{130}

Triángulo rectángulo de catetos 7 y 9
Razones trigonométricas de todos los ángulos de un triángulo rectángulo de catetos 7 y 9
matematicasies.com

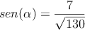
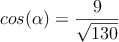
sen(\alpha)=\frac{7}{\sqrt{130}}

cos(\alpha)=\frac{9}{\sqrt{130}}

tg(\alpha)=\frac{7}{9}

sen(\beta)=\frac{9}{\sqrt{130}}

cos(\beta)=\frac{7}{\sqrt{130}}

tg(\beta)=\frac{9}{7}

sen(90)=1

cos(90)=0

tg(90)=\textcolor{red}{\frac{1}{0} \rightarrow \fbox{No tiene tangente}}

Comentar el ejercicio