Problemas de geometría 3D 4202
A la empresa de obras públicas North SA se le ha encargado la construcción de una autovía que una dos importantes ciudades andaluzas. El recorrido de la misma pasa por una montaña y por razones económicas se ha decidido atravesarla construyendo un túnel. Tú puedes echar una mano a los ingenieros implicados en el proyecto a la hora de afrontar los cálculos matemáticos necesarios para realizar la obra.
Se pide:
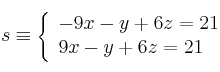
1. El túnel sigue la trayectoria marcada por los puntos A(-1,1,1) y B(1,2,1). Halla la recta que pasa por estos, a la cual vamos a llamar r.
2. Las laderas de la montaña vienen dadas por lo planos cuyas ecuaciones son:
y ![]()
Halla los puntos de intersección de la recta r con los planos, vamos a nombrar a estos puntos como E(entrada) y S(salida).
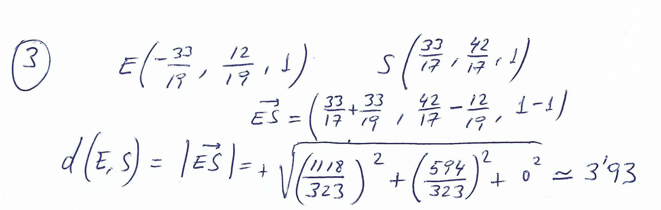
3. Halla la longitud del túnel (distancia entre E y S).
4. En la cima de la montaña se va a trazar otra carretera cuya trayectoria viene determinada por la intersección de los planos
y
. Halla la intersección de los mismos, a la cual vamos a llamar s.
5 Para la ventilación del túnel se va a crear un pozo de impulsión que conecta la cima de la montaña con el túnel y se quiere saber cuál es la longitud del mismo, el pozo sigue la perpendicular que une las rectas r y s. Halla la distancia entre ambas rectas.
SOLUCIÓN
En el ejercicio 1 nos piden la ecuación de una recta que pasa por dos puntos.
En el ej. 2 nos piden la intersección entre recta y plano (basta con resolver el sistema formado por las dos ecuaciones de la recta y la ecuación del plano)
Ejercicio 3. Nos piden la distancia entre dos puntos (basta con hacer el módulo del vector determinado por esos dos puntos)
Ejercico 4. Nos piden la ecuación de una recta "s" determinada por la intersección de dos planos. Si expresamos la recta en ecuaciones implícitas, basta con poner las dos ecuaciones de los planos (que serían las ecuaciones implícitas de la recta)

5) Nos están pidiendo la distancia entre dos rectas.
Deberíamos antes estudiar la posición relativa de ambas rectas Ver Teoría, pues en el caso de ser coincidentes o secantes la distancia sería cero.
En caso de ser paralelas, se podría hacer rápidamente mediante la fórmula de la distancia de un punto a una recta, tomando un punto de una recta y hallando la distancia de ese punto a la otra recta.
En caso de que las rectas se crucen, hallaremos la distancia aplicando alguno de los métodos expuesto en la teoría: Distancia entre rectas que se cruzan

