Probabilidad - Lanzamos 2 dados
En el experimento aleatorio "lanzar dos dados" consideramos los siguientes sucesos:
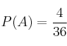
– A = "La suma de puntos obtenidos es 5"
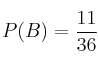
– B = "En un dado ha salido 4"
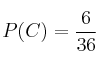
– C = "Mismo resultado en ambos dados"
Halla los sucesos elementales y la probabilidad de los siguientes sucesos:
,
,
,
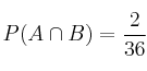
, ![]()
SOLUCIÓN
Al lanzar dos dados tenemos 36 sucesos elementales.
![]()
Para que la suma de puntos sea 5 tenemos estos casos:
(1-4) (2-3) (3-2) (4-1)

Casos en los que ha salido 4 en un dado:
(4-1)(4-2)(4-3)(4-4)(4-5)(4-6)(1-4)(2-4)(3-4)(5-4)(6-4)

Igual resultado en ambos dados:
(1-1)(2-2)(3-3)(4-4)(5-5)(6-6)



Mensajes
28 de abril de 2020, 23:32, por Renata
La probabilidad de obtener 2 puntos es?
La probabilidad de obtener 5 puntos es?