Probabilidad Dados Tetraédricos
Realizamos el experimento aleatorio de lanzar dos dados tetraédricos (4 caras que son triángulos equiláteros) cuyas caras están numeradas del 1 al 4, y sumamos las puntuaciones ocultas de ambos dados. Considerando los sucesos:
– A = "la suma es impar"
– B = "la suma es múltiplo de 3"
– C = "la suma es menor que 5"
Calcula las siguientes probabilidades:
a) ![]()
b) ![]()
c) ![]()
d) ![]()
e) ![]()
f) ![]()
SOLUCIÓN
Hagamos un esquema con los 16 (4 x 4) casos posibles, la suma y los suceso que verifican esa suma:

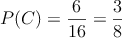
Si tenemos en cuenta que el número de casos posibles es 16, basta con contar los casos favorables para calcular las probabilidades de cada apartado.
a) ![]()
b) ![]()
c) ![]()
d) ![]()
En los siguientes apartados aparece la probabilidad condicionada.
Se pueden hacer de dos formas:
1) Tomando como casos posibles los que cumplen la condición (el suceso que va después de la barra). Por ejemplo en
la condición es el suceso ![]()
2) Aplicando la fórmula de la probabilidad condicionada
e) ![]()
De los 11 casos que cumplen
hay 6 que cumplen ![]()
Otra forma: ![]()
f) ![]()