• Apuntes
  • Vídeos
  • Ejercicios
    • Resueltos
    • Por Curso
      • 1º ESO
      • 2º ESO
      • 3º ESO
      • 4º ESO
      • 1º BACH. CIENCIAS
      • 1º BACH. SOCIALES
      • 2º BACH. CIENCIAS
      • 2º BACH. SOCIALES
  • Más recursos
    • Actividades Interactivas
    • Selectividad (PAU)
    • Acceso Mayores 25
    • LaTeX
Inicio ›EJERCICIOS de Matemáticas ›4º ESO ›Polinomios ›Polinomios Factor Común

Polinomios Factor Común

Ejercicios_Resueltosfactor_común_polinomios

Extrae factores comunes en los siguientes polinomios:

– 5x^3+10x^2
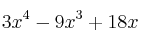
– 3x^4-9x^3+18x
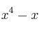
– x^4-x
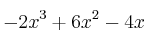
– -2x^3+6x^2-4x

SOLUCIÓN

– 5x^3+10x^2 = 5x^2 \cdot (x+2)

– 3x^4-9x^3+18x = 3x \cdot (x^3 - 3x^2+6)

– x^4-x = x \cdot (x^3-1)

– -2x^3+6x^2-4x = 2x cdot (-x^2+3x-2)

Comentar el ejercicio

  • 4º ESO
    • Números Reales
    • Radicales
    • Logaritmos
    • Polinomios
    • Ecuaciones
    • Sistemas de ecuaciones
    • Proporcionalidad
    • Inecuaciones
    • Trigonometría
    • Funciones 4º ESO
    • Números racionales
    • Circunferencia
    • Geometría en el plano
    • Probabilidad
    • Estadística
  • Mapa del sitio
  • Conectarse
  • 2001-2026 — Matemáticas IES — Contactar con Dani