Polinomios
(68) ejercicios de Polinomios
-
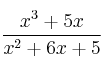
Indica si las siguientes fracciones algebraicas son equivalentes:
y 
-
Encuentra una fracción algebraica equivalente a
con denominador 
-
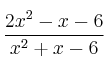
Indica si las siguientes fracciones algebraicas son equivalentes:
y 
-
Indica si las siguientes fracciones algebraicas son equivalentes:
y 
-
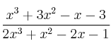
Simplifica la fracción algebraica

