Polinomios
(68) ejercicios de Polinomios
-
Usa la regla de Ruffini para calcular el cociente y el resto de la siguiente división de polinomios:

-
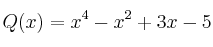
Indica monomios, grado, coeficientes, variable, coeficiente principal y término independiente en los siguientes polinomios:
, 
-
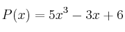
Sean los polinomios:
–
–
Calcula

-
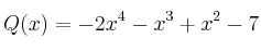
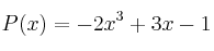
Sean los polinomios:
–
–
Calcula

-
Indica coeficiente, parte literal y grado de los monomios:
;
; 
