Polinomios

(68) ejercicios de Polinomios

  • 👁 Ver (#1059)

    Aplica las fórmulas de las identidades notables, simplifica y ordena el resultado:
     a) (2x^2-3x)^2
     b) (3x+5)^2

  • 👁 Ver (#1060)

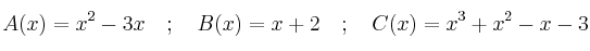
    Dados los polinomios:
    A(x)=x^2-3x \quad ; \quad B(x)=x+2  \quad ; \quad C(x)=x^3+x^2-x-3
    calcula:

     a) A(x) + B(x) + C(x)
     b) 2 \cdot A(x) - 3 \cdot B(x)
     c) A(x) \cdot C(x)

  • 👁 Ver (#1061)

    Dados los polinomios:
    P(x)=2x^2-3x+1 \quad ; \quad Q(x)=x^2-4
    calcula:

     a) 2 \cdot P(x) - Q(x)
     b) P(x) \cdot Q(x)

  • 👁 Ver (#1177)  Ver Solución

    Si el término independiente de P(x) = ax^2+bx-(3a-1) es igual a -8, determina el valor de a

  • 👁 Ver (#1479)  Ver Solución

    Efectúa la siguiente división de polinomios aplicando Ruffini en caso de ser posible
    (4x^3-3x^2+18x-9) : (x+1)