Matriz Adjunta
Matriz Adjunta
Adjunto
de un elemento
Llamamos Adjunto de un elemento
y lo representamos por
al menor complementario
precedido de un signo más (+) o menos (-).
– Cuando
es par el signo es
– Cuando
es impar el signo es ![]()
«Ejemplo»: Calculamos el adjunto del elemento
en la matriz ![]()
Primero calculamos el menor complementario
Finalmente comprobamos si hay que cambiar el signo. Como la suma de subíndices
es impar, cambiamos el signo
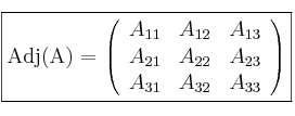
Matriz Adjunta:
Llamamos matriz adjunta de una matriz
y la representamos por
, a la matriz formada por los adjuntos
de todos los elementos.
![]()

Mensajes
21 de septiembre de 2018, 09:24, por Natalia VB
Muy buenas noches, debo decir que este sitio me ah ayudado bastante para estudiar, pero creo estar en desacuerdo con la definicion de adjunto de un elemento y matriz adjunta , tengo entendido que al multiplicar (1) o (-1) dependiendo de si i+j es par o impar por el det(Aij) da el valor de lo que se conoce como cofactor , por ende, la matriz compuesta por los cofactores en orden de cada elemtno, se conoce como matriz de cofactores , pero debo mencionar que matriz adjunta hace referencia a la matriz transpuesta de la matriz de cofactores.
cofactor:= cij
matriz de cofactores:= A^c = cof(A)
matriz adjunta:= Adj(A) = (A^c)^t
pdt: basado en libros de estudio
24 de septiembre de 2018, 10:57, por dani
Muy buena observación.
No se trata de un error. Lo que ocurres es que hay dos maneras distintas de definir la matriz adjunta dependiendo de los tratados matemáticos que consultemos.
Una usa el término cofactor y otra (como esta web) usa el término adjunto. Si buscamos matriz adjunta en la wipedia conoceremos un poco más sobre estas dos terminologías.
Sin embargo, el verdadero sentido de calcular la matriz adjunta es como paso previo para calcular la inversa. Lo importante es que la definición de adjunta y la fórmula para calcular la inversa estén en la misma terminología (como en esta web).
Si usa la definición de adjunta con cofactores (como indica en su msg) entonces no le valdrá la fórmula de inversa de matematicasies.com (pues nosotros usamos la otra terminología).
Espero haberle aclarado algo el tema.
Un saludo y gracias por su aportación.