Desarrollo de un determinante por los elementos de una línea
Desarrollo de un determinante por los elementos de una línea
– Podemos calcular un determinante, de cualquier orden, desarrollándolo por los elementos de una línea (fila o columna).
– Usaremos este método para determinantes de orden 4 o superior.
– También podemos usarlo para determinantes de orden 3 (aunque en este caso tenemos como alternativa la Regla de Sarrus.
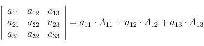
– El método se basa en la siguiente propiedad: «Un determinante es igual a la suma de los elementos de una línea multiplicados por sus adjuntos».
– Podemos desarrollarlo por la fila o columna que elijamos. En la práctica se elige la línea que contenga más ceros (para hacer menos cálculos)
Ejemplo: Desarrollamos un det. por los elementos de la primera fila

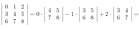
Ejemplo numérico:
![]()
NOTA: Hemos cambiado el signo del segundo sumando porque
es impar.
Puedes calcular cualquier determinante de orden 3 en el siguiente enlace:
Calcular determinante online
Mensajes
27 de noviembre de 2015, 14:02, por ñoño
pongan otro ejemplo xd