Inecuaciones primer grado una incógnita
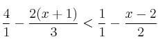
Resuelve la inecuación: 
SOLUCIÓN


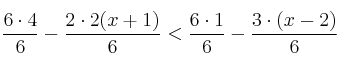
m.c.m.(2,3) = 6

![]()
![]()
![]()
![]()
También podemos expresar la solución como:
![]()
Expresada en forma de intervalo sería:
![]()
Resuelve la inecuación: 


m.c.m.(2,3) = 6

![]()
![]()
![]()
![]()
También podemos expresar la solución como:
![]()
Expresada en forma de intervalo sería:
![]()