Hallar las raíces y factores de un polinomio
Halla las raíces y factores del polinomio
SOLUCIÓN
Empezamos usando Ruffini
![\polyhornerscheme[x=1,resultstyle=\color{red},resultbottomrule,resultleftrule,resultrightrule]{2x^3-5x^2-x+4} \polyhornerscheme[x=1,resultstyle=\color{red},resultbottomrule,resultleftrule,resultrightrule]{2x^3-5x^2-x+4}](local/cache-TeX/a22ab5b4b440d0f934a34729475db1ab.png)
Con lo cual ya tenemos una raíz
y dos factores:
y ![]()
El polinomio original se puede expresar como:
![]()
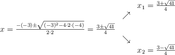
Vamos a comprobar si hay más raíces y factores intentando factorizar
. Para ello resolvemos la ecuación de segundo grado ![]()

Hemos encontrado dos raíces más:
y ![]()
El polinomio original completamente factorizado quedaría:
