• Apuntes
  • Vídeos
  • Ejercicios
    • Resueltos
    • Por Curso
      • 1º ESO
      • 2º ESO
      • 3º ESO
      • 4º ESO
      • 1º BACH. CIENCIAS
      • 1º BACH. SOCIALES
      • 2º BACH. CIENCIAS
      • 2º BACH. SOCIALES
  • Más recursos
    • Actividades Interactivas
    • Selectividad (PAU)
    • Acceso Mayores 25
    • LaTeX
Inicio ›EJERCICIOS de Matemáticas ›4º ESO ›Polinomios ›Factorizar polinomios aplicando identidades notables

Factorizar polinomios aplicando identidades notables

Ejercicios_Resueltosfactorizar_polinomios

Usa las identidades notables para factorizar los siguientes polinomios:
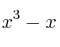
– x^3-x
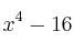
– x^4-16
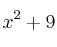
– x^2+9
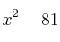
– x^2-81

SOLUCIÓN

Para factorizar polinomios usaremos esta identidad notable:
$$a^2-b^2 = (a+b) \cdot (a-b)$$

– x^3-x = x \cdot (x^2-1) = x \cdot (x^2-1^2) = x \cdot (x+1) \cdot (x-1)
– x^4-16 = (x^2)^2-4^2=(x^2-4) \cdot (x^2+4) =
=(x^2-2^2) \cdot (x^2+4) = (x+2) \cdot (x-2) \cdot (x^2+4)
– x^2+9 = no se puede factorizar
– x^2-81 = (x^2-9^2)=(x+9) \cdot (x-9)

Comentar el ejercicio

  • 4º ESO
    • Números Reales
    • Radicales
    • Logaritmos
    • Polinomios
    • Ecuaciones
    • Sistemas de ecuaciones
    • Proporcionalidad
    • Inecuaciones
    • Trigonometría
    • Funciones 4º ESO
    • Números racionales
    • Circunferencia
    • Geometría en el plano
    • Probabilidad
    • Estadística
  • Mapa del sitio
  • Conectarse
  • 2001-2026 — Matemáticas IES — Contactar con Dani