Ejercicio Eliminar Logaritmos de una expresión
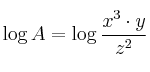
Elimina los logaritmos de la expresión:
![]()
SOLUCIÓN
![]()
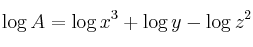
Debemos aplicar las propiedades de los logaritmos
![]()
![]()

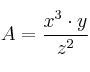
Cuando sólo tenemos un logaritmo a cada lado, ya podemos eliminar logaritmos

Elimina los logaritmos de la expresión:
![]()
![]()
Debemos aplicar las propiedades de los logaritmos
![]()
![]()

Cuando sólo tenemos un logaritmo a cada lado, ya podemos eliminar logaritmos
