Ej 3 de Punto Medio de un Segmento
Halla las coordenadas del punto medio del siguiente segmento, sin usar la fórmula:
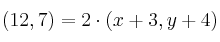
– ![]()
SOLUCIÓN
Si no conocemos la fórmula, podemos hallar el punto medio usando vectores.
Denotaremos al punto medio
, entonces:
Punto medio de un segmento
Punto medio de un segmento

![]()
![]()
Por tanto:
–
–
El punto medio es