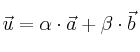
Ej 1 de Combinación Lineal
Expresa el vector
como combinación lineal de los vectores
y 
SOLUCIÓN

![]()
![]()
![]()
![]()
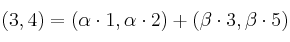
Si igualamos componente a componente obtendremos un sistema de dos ecuaciones con dos incógnitas:

Resolvemos el sistema por sustitución:
Despejamos en la primera ecuación
Y sustituimos en la segunda
![]()
![]()

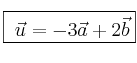
Por tanto, a combinación lineal que nos piden es:
