• Apuntes
  • Vídeos
  • Ejercicios
    • Resueltos
    • Por Curso
      • 1º ESO
      • 2º ESO
      • 3º ESO
      • 4º ESO
      • 1º BACH. CIENCIAS
      • 1º BACH. SOCIALES
      • 2º BACH. CIENCIAS
      • 2º BACH. SOCIALES
  • Más recursos
    • Actividades Interactivas
    • Selectividad (PAU)
    • Acceso Mayores 25
    • LaTeX
Inicio ›EJERCICIOS de Matemáticas ›4º ESO ›Ecuaciones ›Ecuaciones segundo grado

Ecuaciones segundo grado

ecuacionesecuaciones-segundo-gradoEjercicios_Resueltos

Resuelve la ecuación 1 - (x-2)^2 = 1

SOLUCIÓN

1 - (x-2)^2 = 1


Resolvemos el paréntesis aplicando las igualdades notables

1 - \left( x^2 + 2^2 -2 \cdot x \cdot 2 \right) = 1


1 - ( x^2 + 4 -4x ) = 1


1 - x^2 - 4 +4x  = 1


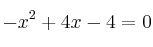
 - x^2  +4x -4 = 0


Aplicamos la fórmula de las ecuaciones de 2º grado


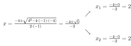
\begin{array}{ccc} & & x_1 = \frac{-4+0}{-2}=2\\ & \nearrow &\\ x=\frac{-4\pm \sqrt{4^2-4 \cdot(-1)\cdot(-4)}}{2 \cdot(-1)}=
 \frac{-4\pm \sqrt{0}}{-2}& &\\ & \searrow &\\& &x_2 = \frac{-4-0}{-2}=2\end{array}

La solución es \fbox{x=2}

Comentar el ejercicio

  • 4º ESO
    • Números Reales
    • Radicales
    • Logaritmos
    • Polinomios
    • Ecuaciones
    • Sistemas de ecuaciones
    • Proporcionalidad
    • Inecuaciones
    • Trigonometría
    • Funciones 4º ESO
    • Números racionales
    • Circunferencia
    • Geometría en el plano
    • Probabilidad
    • Estadística
  • Mapa del sitio
  • Conectarse
  • 2001-2026 — Matemáticas IES — Contactar con Dani