Ecuaciones grado superior
Resuelve la ecuación
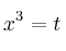
realizando un cambio de variable (
)
SOLUCIÓN
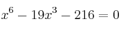
Se trata de una generalización del método de las ecuaciones bicuadradas
Hacemos el cambio
y ahora sustituimos
![]()
Resolvemos la ecuación de segundo grado en la variable "t"

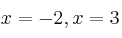
Ahora deshacemos el cambio:
![]()
![]()
![]()
Mensajes
6 de febrero de 2007, 20:22, por dani
Solución: