• Apuntes
  • Vídeos
  • Ejercicios
    • Resueltos
    • Por Curso
      • 1º ESO
      • 2º ESO
      • 3º ESO
      • 4º ESO
      • 1º BACH. CIENCIAS
      • 1º BACH. SOCIALES
      • 2º BACH. CIENCIAS
      • 2º BACH. SOCIALES
  • Más recursos
    • Actividades Interactivas
    • Selectividad (PAU)
    • Acceso Mayores 25
    • LaTeX
Inicio ›EJERCICIOS de Matemáticas ›4º ESO ›Ecuaciones ›Ecuaciones Segundo Grado

Ecuaciones Segundo Grado

ecuacionesecuaciones-segundo-gradoEjercicios_Resueltosformula ecuación 2º grado

Resuelve las ecuaciones:
– 3x^2+2x+1=0
– x^2-4x+4=0
– 2x^2+2x-4=0

SOLUCIÓN

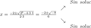
3x^2+2x+1=0
\begin{array}{ccc} & & Sin \:\: soluc\\ & \nearrow &\\ x=\frac{-2\pm \sqrt{2^2-4 \cdot3\cdot1}}{2 \cdot3}=\frac{-2\pm \sqrt{-8}}{6}& &\\ & \searrow &\\& &Sin \:\: soluc\end{array}
No tiene soluciones reales

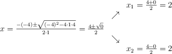
x^2-4x+4=0
\begin{array}{ccc} & & x_1 = \frac{4+0}{2}=2\\ & \nearrow &\\ x=\frac{-(-4)\pm \sqrt{(-4)^2-4 \cdot1\cdot4}}{2 \cdot1}=\frac{4\pm \sqrt{0}}{2}& &\\ & \searrow &\\& &x_2 = \frac{4-0}{2}=2\end{array}

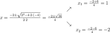
2x^2+2x-4=0
\begin{array}{ccc} & & x_1 = \frac{-2+6}{4}=1\\ & \nearrow &\\ x=\frac{-2\pm \sqrt{2^2-4 \cdot2\cdot(-4)}}{2 \cdot2}=\frac{-2\pm \sqrt{36}}{4}& &\\ & \searrow &\\& &x_2 = \frac{-2-6}{4}=-2\end{array}

Comentar el ejercicio

  • 4º ESO
    • Números Reales
    • Radicales
    • Logaritmos
    • Polinomios
    • Ecuaciones
    • Sistemas de ecuaciones
    • Proporcionalidad
    • Inecuaciones
    • Trigonometría
    • Funciones 4º ESO
    • Números racionales
    • Circunferencia
    • Geometría en el plano
    • Probabilidad
    • Estadística
  • Mapa del sitio
  • Conectarse
  • 2001-2026 — Matemáticas IES — Contactar con Dani